Erken Emeklilik Şartları Tablosu (Kadın / Erkek) 2024 SSK

2-) İşsizlik Halinde Erken Yaşlılık Aylığı : Hollanda'da ikamet eden ve kendi iradesi ile gönüllü olarak kendi ülkelerine dönecek sigortalıya geri dönüş aylığı bağlanmaktadır. 3-) Dul Eşe Bağlanan Yaşlılık Aylığı : Sigortalının ölümü halinde gerekli şartları yerine getiriyorsa dul eş 65 yaşına geldiğinde dul - yaşlılık aylığı bağlanmaktadır.
Erken emeklilik şartları nelerdir? Erken emeklilikten kimler yararlanabilir? EMEKLİ Haberleri

Erken emeklilik maaşı ve ek gelir. 1 Ocak 2023'ten itibaren yaşlılık aylıkları, ek kazanç miktarına bakılmaksızın tam olarak çekilebilecektir. Erken emeklilik aylıkları için daha önce geçerli olan ek gelir sınırı iptal edilmiştir. 31 Aralık 2022 tarihine kadar, normal emeklilik yaşına ulaşmadan önceki ek kazanç.
Erken emekli olmak için az bilinen detaylar! Herkes bu alternatifleri merak ediyor… Finans

Yıllardır süren yeni emeklilik sistemi Hollanda Temsilciler Meclisi tarafından çoğunluğun oyunu alarak geçti. Emeklilik yasası değişiyor. Senatonun onaylaması ile 2023 yılında.
Emeklilik şartları Erken emekli olmanın şartları nelerdir? Erken emeklilik son dakika

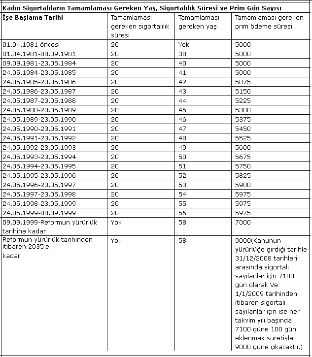
ERKEN EMEKLİLİKTE ÖZELLİK ARZ EDEN HUSUSLAR. Sigortalıların emekli olma hakkına daha erken bir şekilde elde etmelerine sağlayacak uygulamaların bütünü erken emeklilik olarak adlandırılmaktadır. Sigortalı olarak çalışan kadınlar 3 defaya mahsus olmak üzere doğumdan sonraki 2 yıllık süreyi borçlanabilirler.
Hollanda Remigrant / Erken emeklilik alan kişiler için vize Eraytur

Bu durumda başka bir ülkede daha emeklilik birikimi yapmış olabilirsiniz. Hollanda'da mı ikamet ediyorsunuz? Öyleyse AOW başvurunuzu, bize yapınız. Hollanda dışında bir emeklilik birikimi yapıp yapmadığınızı biz araştırırız. Bu söz konusuysa, başvurunuzu Hollanda dışındaki kuruma iletiriz.
İşçi ve memurlar dikkat! Erken emeklilik yolu açıldı

Hollanda 'da 65 olan emeklilik yaşı, 1 Ocak 2013 'den itibaren 1 ay yükseltilmiş, kademeli olarak emeklilik(AOW) yaşı, 2018'de 66 'ya ve 2021 'de ise, 67 yaşına çıkarılmasına karar verilmişti..
Erken emeklilik nedir? Nasıl emekli olurum? Gündem Haberleri

Ve bu süre içinde Hollanda'da ikamet ettiyseniz veya çalıştıysanız,% 100 AOW biriktirmişsinizdir. Tam emeklilik maaşı-AOW, her evli veya evli çift için asgari ücrete bağlıdır. mali ortaklar , asgari ücretin% 50'sini alır (her ortak için). Bekârlar asgari ücretin% 70'ine eşit bir emekli maaşı alma hakkına sahiptir.
Erken emeklilik şartları belli oldu! 2018 SGKBağkur en düşük emeklilik yaşı.. Haber 7 GÜNCEL

Hollanda'da Yaşayan Vatandaşlarımızın Emeklilik Hakları ile ilgili sorunuza Dış İlişkiler Genel Müdürlüğü AÇSH Uzmanı Dr. Serdar EKİNCİ yanıt verdi. Sorular.
1981 1999 2000 2008 öncesi sonrası emeklilik prim gün şartları ve 48'den 52'ye erken emeklilikte

Hollanda'da emeklilik sistemi genel olarak 3 sütun üzerinde yükselmektedir. Yukarıda ayrıntıları verilen ve zorunlu tutulan AOW birikimi birinci sütün olarak kabul edilmektedir. İkinci sütün ise kolektif emeklilik fonları olarak adlandırılan ve belirli bir endüstri kolu ya da firma üzerinden birikim yapılan sandıklardır.
Hollanda'dan emeklilik katkı paylarının geri ödenmesi StiPP Aangifte24

Dünya genelindeki emeklilik sistemlerini karşılaştıran bir raporda Hollanda'daki emeklilik sisteminin halihazırda reformdan geçiyor olmasına rağmen diğer ülkelerdeki sistemleri geride bıraktığı vurgulandı. Türkiye en kötü notu alan ülkeler arasında yer aldı. Mercer CFA Enstitüsü'nün küresel emeklilik raporunda 50'den.
Son dakika... Çalışanların emeklilik tablosu nasıl olacak? 1999 ve sonrası arasındaki farklar

Hollanda'da erken emeklilik seçenekleri. Hollanda'da erken emeklilik seçenekleri, birçok kişi için çekici bir fikir olabilir. Erken emeklilik, çalışanların daha genç yaşta işlerinden ayrılıp emekli olmalarını sağlar. Bu durum, daha fazla zaman ve özgürlük sağlamak için bir fırsat olarak görülebilir.
EYT'nin ardından yeni erken emeklilik sistemi geliyor

Yurt dışı borçlanma başvurusunu SSK'da veya Bağkur'dan yapmış ve kendisine çıkarılan borç miktarını ödemiş olanlardan başvuru ve ödeme anında ki yaş şartını yerine getirenlerin. Yeni sistemde de borçlanarak -Hollanda Türkiye emeklilik-özellikle yaştan emeklilik şartalrı ve Euronun Türk lirası karşısında.
Bağkur Erken Emeklilik Şartları (Kadın/Erkek)

Hollanda'da 1957 yılında emeklilik yaşının ayarlanmasından bu yana yaşam beklentisi her yıl yaklaşık bir ay arttı. Son iki yılda korona pandemisi sırasında normalden daha fazla insan hayatını kaybetti. Bu durum yaşam beklentisini de düşürdü ancak CBS yaşam beklentisinin önümüzdeki yıllarda eski seviyesine dönmesini.
Erken Emeklilik Geldi! Nasıl Erken Emekli Olunacak? Haber365

Avrupa'da ülkelere göre emeklilik yaşı ve şartları birbirinden ayrılıyor.. Hollanda: 66 ya. Buradaki sigortalı çalışanlar 65 yaşına girdikten sonra emekli olmaya hak kazanır. Ülkede erken emeklilik gibi olanaklar da mevcut. Ancak bu yolu tercih edenlerin diğerlerine kıyasla daha düşük maaş aldığı biliniyor.
Kademeli emeklilik yaş tablosu! 1999 2008 arası 2008 sonrası 43 44 45 46 yaşla erken emeklilik

Hollanda' da Emeklilik Sistemi. aysaa September 14, 2020. Artık Hollanda'ya tamamen yerleştiğimize göre gelecek hakkında planlar yapabiliriz. Bu planlardan en önemlisi de " Hollanda'da Emeklilik"diyebiliriz. Emeklilik sistemi uzun bir süredir yazmak istediğim bir konuydu. Bizim gibi buraya göçmen olarak çalışmaya gelenler.
Erken emeklilik müjdesi! TESK'ten Erdoğan'a 'prim günü' teşekkürü! Ekonomi Haberleri EKONOMİ

Artık maksimum emeklilik birikimi tutarı 321 Euro (önceden 178 Euro) olabilir ve emeklilik hesaplarına yıllık olarak yatırılan mevduat miktarı 274 Euro'ya (önceden 675 Euro) yükseltilmiştir. Bu, daha varlıklı emeklilerin erken emekli olmasını sağlayacaktır. Ayrıca kanunun aşağıdaki maddeleri değiştirilecektir: